Hai mai sentito parlare di valore attuale netto di un investimento? Se la risposta è sì, magari ti sarai chiesto che cosa sia di preciso e, soprattutto, come possa aiutarti a decidere in che cosa investire.
In questo nuovo post della nostra sezione focus parleremo proprio di questo: spiegheremo la definizione di valore attuale netto, vedremo come si calcola, a cosa serve e quali sono i suoi limiti!
Cos’è il valore attuale netto (VAN)
Il valore attuale netto (VAN) di un investimento determina in buona sostanza il valore ad oggi dei redditi che un investimento potrebbe generare in futuro.
Per capire meglio la definizione e soprattutto l’utilità del VAN, occorre partire da un presupposto: un euro oggi vale più di un euro domani. In altre parole, a tutti noi conviene di più ricevere subito una data somma di denaro piuttosto che dover attendere per mesi o addirittura per anni. Questo perché dobbiamo considerare il rischio di inflazione, il fatto di non poter investire da subito quella somma ricavandone un profitto, come pure l’eventualità che questa non ci venga versata come inizialmente pattuito.
In definitiva, conviene aspettare solo nel caso in cui l’attesa venga remunerata attraverso il pagamento di un interesse.
Il valore attuale netto tiene conto di questo fattore al fine di determinare se valga o meno la pena di effettuare un determinato investimento. E per farlo determina il valore ad oggi dei rendimenti che l’investimento in questione potrebbe generare in futuro.
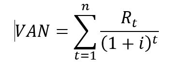
Come si calcola il valore attuale netto di una somma futura
Riportiamo innanzitutto la formula del valore attuale netto, per poi spiegarla punto per punto:
dove
Rt è il reddito generato dall’investimento nell’arco del periodo di tempo t (ad esempio, un mese o un anno).
i è il reddito che verrebbe ipoteticamente generato da un investimento alternativo.
t equivale alla durata dell’investimento e può essere espresso ad esempio in mesi o in anni.
Se il valore attuale netto sarà positivo, allora varrà la pena di cogliere l’opportunità di investimento. In caso contrario, sarà meglio lasciar perdere e orientarsi su qualcosa d’altro.
È interessante notare che la formula del VAN prende in considerazione il rendimento che potrebbe essere percepito da un investimento alternativo. Ciò significa che il valore attuale netto di un investimento viene determinato anche dal confronto con altre opportunità dotate di caratteristiche simili.
Un buon modo per rendere questo confronto il più realistico possibile potrebbe essere quello di selezionare il rendimento di un investimento alternativo in un’azienda che operi nello stesso settore e che presenti un livello di rischio molto simile all’opportunità che stiamo valutando.
Un altro metodo molto utilizzato consiste invece nel fare riferimento al WACC (weighted average cost of capital), che equivale al costo medio del capitale che la società in cui si è deciso di investire deve pagare a tutti i suoi investitori, azionisti inclusi. In questo caso, il confronto non avviene dunque con la concorrenza, ma con il costo del capitale complessivo per la stessa azienda.
Prendere decisioni di investimento con il metodo del valore attuale netto
Volendo riassumere quanto detto finora, il valore attuale netto ci consente di valutare un’opportunità di investimento alla luce del valore odierno dei rendimenti attesi per il futuro e del confronto con il rendimento che verrebbe generato da un investimento alternativo o dal WACC.
A questo punto, dobbiamo però fare una precisazione importante. Difficilmente il valore attuale netto saprà rivelarsi un indicatore esaustivo del valore di un’opportunità di investimento. Fatta eccezione per gli investimenti a reddito fisso, non è infatti possibile determinare con certezza l’ammontare dei rendimenti futuri. E questo vale sia per l’opportunità oggetto di valutazione che per quella che viene scelta per effettuare il confronto.
Per questo motivo, non solo i rendimenti attesi vanno stimati attraverso analisi approfondite, ma occorre prendere in considerazione anche altri indicatori, come ad esempio il P/E Ratio. Solo così saremo in grado di valutare al meglio le nostre decisioni di investimento.
In questo post abbiamo parlato di valore attuale netto, abbiamo visto come si calcola e come può essere utilizzato per aiutarci a prendere le nostre decisioni in materia di investimenti.
Credito Italia è il nuovo blog italiano interamente dedicato all’educazione finanziaria. Ogni settimana proponiamo l’approfondimento di un tema di attualità per aiutarti a capire il mondo dell’economia e della finanza. Vai su www.creditoitalia.it e scopri l’economia spiegata semplice!




